Advanced Brain
Health Scan
Gain deeper insight into your brain health with AI-powered analysis
Prenuvo’s Advanced Brain Health Scan, powered by NeuroQuant®, an FDA-cleared AI technology, provides a detailed evaluation of your cognitive and neurological health by measuring brain volume and structure using high-resolution MRI screening. This detailed analysis may help identify early signs of neurological decline, sometimes years before symptoms appear.
What the scan does: The scan evaluates structural, vascular, and other elements of the brain, helping detect potential risks for aneurysm, tumor, neurodegeneration, and cognitive decline. The goal is to surface clinically meaningful findings that may warrant further medical evaluation when appropriate.
Advanced Brain Health Scan empowers you with clearer insight into your neurological, helping you track changes over time to support long-term cognitive health.
Structural health
Vascular health
Tumor detection
Ventricular dilation
Opportunistic findings
What to expect from your Prenuvo Results Report + NeuroQuant® Report
Once your scan results are ready, you’ll receive your Prenuvo Results Report and NeuroQuant® Report. These reports include explanations, images, and easy to understand insights about your brain health to help you better understand your results.
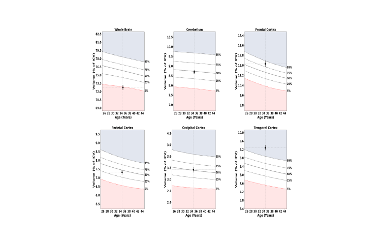
The NeuroQuant® report uses FDA-cleared technology to measure the size of different parts of your brain. It analyzes your MRI scan, calculates volumes of specific structures, and presents the results as both measurements and color-highlighted images. Your values are also compared to people of the same age and sex, helping show whether they fall within the expected range.

Memory-related structures
Evaluation of key memory-related areas of the brain, such as the hippocampus and entorhinal cortex, can help identify structural changes that may be associated with mild cognitive impairment (MCI) and Alzheimer’s disease. These regions are often among the earliest areas to show measurable changes.

Brain structure visualization
Measuring the size of white matter and deep gray matter areas of the brain can help identify patterns that may be associated with certain neurological conditions. When reviewed together with your medical history and other test results, this information may support earlier identification and ongoing monitoring of brain health.
How to book
Advanced Brain Health Scan
A targeted brain assessment powered by NeuroQuant®, an FDA-cleared AI technology, that measures brain volume and structure to provide insights into your cognitive and neurological health.
Frequently asked questions
At this time, the Prenuvo Body Composition report and Advanced Brain Health Scan are only available when booked with an Executive membership.
Both studies use MRI technology, but the addition of volumetric analysis from the NeuroQuant®, FDA-cleared AI technology, provides another layer of information that may support detection and longitudinal monitoring when clinically appropriate.
No, it’s designed for anyone interested in a deeper understanding of their brain health. It provides a focused and in-depth assessment, making it valuable for those prioritizing cognitive optimization, early detection of neurological conditions, and proactive long-term wellness. Complementing the Whole Body scan, it’s ideal for anyone seeking enhanced, personalized insights into your brain health.
We recommend getting the advanced brain health scan with your whole body scan every 1-2 years. This timeframe helps with early detection of subtle brain changes, supports proactive brain health monitoring, and helps track any changes over time. Regular scans provide valuable insights, enabling you to take preventive steps to support long-term brain health and cognitive well-being.
